在线客服QQ1
在线客服QQ2
在线询单
如何订购
特价产品
定制服务
搜 索
Bioll所有产品仅用作科学研究或药证申报,我们不为任何个人用途提供产品和服务!
平价抑制剂
抑制剂分类
PI3K/Akt/mTOR
PI3K
mTOR
Akt
GSK-3
PDK1
S6 Kinase
AMPK
DNA-PK
ATM/ATR
P14K
Apoptosis
Caspase
Mdm2
Bcl-2
IAP
p53
PKD
Survivin
TNF-alpha
PERK
c-RET
DAPK
PD-1/PD-L1
TNCF
MMP
BCL
RIP
NF-κB
HDAC
HF-κB
IκB/IKK
MALT1
NOD1
PPAR
Protein Tyrosine Kinase
VEGFR
EGFR
PDGFR
c-Met
IGF-1R
FGFR
ALK
Axl
Trk Receptor
FLT3
c-kit
CSF 1R
HER2
c-FMS
BTK
Ephrin Receptor
TAM Receptor
RET
JAK/STAT
JAK
STAT
Pim
EGFR
GPCR & G Protein
Cannabinoid Receptor
Adrenergic Receptor
OX Receptor
Opioid Receptor
LPA Receptor
Adenosine Receptor
Dopamine Receptor
Endothelin Receptor
Neurokinin Receptor
SGLT
Hedgehog/Smoothened
S1P Receptor
mGluR
P2Y Receptor
Protease-Activated Receptors(P
Histamine Receptor
Neuropeptide Y receptor
GHSR
CXCR
Prostaglandin Receptor
5-HT Receptor
EBI2
mAChR
Sigma Receptor
GPR84
Ras
TSH Receptor
CRFR
Guanylate Cyclase modulator
GRK
Endocrinology & Hormones
Aromatase
Androgen Receptor
Estrogen Receptor
GPR
RAAS
Glucocorticoid Receptor
Thyroid hormone receptor(THR)
Angiogenesis
BTK
EGFR
ALK
FAK
Sre-bcr-Abl
Syk
FLT3
FGFR
PI3K
Src
HIF
VEGFR
JAK
Bcr-Abl inhibitor
MAPK
ERK
JNK
MEK
p38 MAPK
Raf
Ribosomal S6 Kinase (RSK)
Ras
Transmembrane Transporters
ATPase
CRM1
CFTR
Calcium Channel
GTPase
P-gp
Potassium Channel
Sodium Channel
Cytoskeletal Signaling
Akt
Bcr-Abl
FAK
HSP 90
Kinesin
Integrin
Microtubule Associated
PAK
Wnt/beta-catenin
HDAC
Dynamin
5-HT Receptor
Sirtuin
Integrin
HSP
PKC
TACC3 inhibitor
Cell Cycle
APC
Aurora Kinase
CDK
Checkpoint
c-Myc
Chk
EZH2
PLK
PERK
ROCK
Rho
Wee1
Mps1
DNA/RNA Synthesis
Topoisomerase
HSP e.g.HSP90
Nucleoside antimetabolite/anal
CRM1
p97
PAK
PPAR
Nur77
LIM kinase inhibitor
TGF-beta/Smad
TGF-beta/Smad
PKC
ROCK
TGF-β Receptor
DNA Damage
ATM/ATR
HDAC
PARP
MTH1
DNA/RNA Synthesis
DNA-PK
Sirtuin
Telomerase
RAD51
Topoisomerase
BET Bromodomain
Tubulin
Histone Demethylase
Epigenetics
Aurora Kinase
DNA Methyltransferase
Histone Methyltransferase
Histone Demethylase
Histone Acetyltransferase
HDAC
PARP
Pim
JAK
HIF
Epigenetic Reader Domain
Sirtuin
AMPK
PKC
PAD
Stem Cells & Wnt
Hedgehog/Smoothened
Casein Kinase
GSK-3
Wnt/beta-catenin
JAK
STAT
TGF-beta/Smad
Gamma-secrtase
β-catenin
Porcupine
Neuronal Signaling
BACE
COX
CaMK
AChR
5-HT Receptor
Gamma-secretase
Histamine Receptor
GABA Receptor
P2 Receptor
P-gp
OX Receptor
GluR
LRRK2
Amyloid-β
Trk Receptor
γ-secretase
Metabolism
AHR
PPAR
PDE
Dehydrogenase
FAAH
Monoamine Oxidase
Transferase
Ferroptosis
IDO
Caseinkinase
Factor Xa
Phospholipase(e.g.PLA)
P450(e.g.CYP17)
Retioid Receptor
DHFR
Procollagen C Proteinase
CETP
Isocitrate dehydrogenase(IDH)
Hsp
MAO inhibitor
Carbonic Anhydrase
Aldehyde dehydrogenase (ALDH)
NAMPT
PKM
Liver X Receptor (LXR)
MAO
Mitochondrial Metabolism inhib
SCD inhibitor
PAI-1
Proteases
Proteasome
Aminopeptidase
Cathepsin
Caspase
DPP-4
HCV Protease
Gamma-secrtase
DUB
Cysteine Protease
Serine Protease
BACE
MMP
HSP
Serine Protease inhibitor
Microbiology
Reverse Transcriptase
HIV Protease
Integrase
HCV Protease
CCR
ribosome
Anti-infection chemical
Parasite inhibitor
Others
HIF
IRE1
PROTAC
Integrin
Ubiquitin
P97
Proteasome
DUB
E1 Activating
E2 Conjugating
E3 Ligase
Anti-infection
Rhinovitus
Antibacterial
HCV
HIV
CCR
Autophagy
LRRK2
Autophagy inhibitor
Immunology/Inflammation
Toll-like receptor(TLR)
Interleukin Related
CCR
Cyclooxygenase(COX)
CXCR
FLAP
CRTH2(GPR44)
IL Receptor
TLR
Antiviral
COX
STING
ROS
Nrf2 activator
Membrane Transporter/Ion Chann
CFTR
P2X Receptor
SGLT
Na+/K+ ATPase
Potassium Channel
NBC
Sodium Channel
Na+/Ca2+ Exchanger
TRP Channel
GABA Receptor
ATPase
COX
Wnt/Hedgehog/Notch
CK1
Antibody-drug conjugates/ADCs
ADCs linker
ADCs Related
ADCs cytotoxin
Metabolic Enzyme
Farnesyl Transferase
FXR
Dipeptidyl Peptidase
Phosphodiesterase (PDE)
HIF/HIF Prolyl-Hydroxylase
Neuroscience
AChR
首页
>>
产品中心
>>
Anti-infection
Anidulafungin
规格
价格
库存状态
大规格有大优惠!具体请
询 价
质量管理及说明
当前批次:
HPLC>98% 产品COA和检测报告随货发出
产品信息
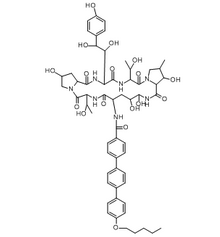
Anidulafungin (阿尼芬净; LY303366) 是半合成的echinocandin,可通过抑制真菌细胞壁中的(1,3)-beta-D-glucan的合成起到抗真菌的作用。
分子量:1140.24
化学式:
C58H73N7O17
CAS号:166663-25-8
稳定性:-20℃ 3年
参考文献
>
平价抑制剂倡导者
Bioll中国
关于我们
我们特色
销售网络
联系我们
免费样品申请
技术支持
常见问题
询价反馈
质量控制
运输储存
客户支持
物流运输
退换支持
在线询价
订购流程
定制服务
如何订购
联系我们
热线: 021-52996696
客服: 021-52996696
邮件:sales@lollanechem.com
QQ :
Bioll所有产品仅供实验科研,不对任何患者出售!
Copyright © 2010-2014 Bioll中国版权所有
沪ICP备14029495号-3